Job: Volume Tools
Apply various operations including upsample, downsample, crop, pad, flip, etc., to a volume or mask.
Description
Use this job to one or more of the following operations on an input Volume or Mask:
Upsample/Downsample
Crop
Add soft padding
Flip handedness
Lowpass filter
Invert density (subtract input from ones)
Note that both volumes and masks can be inverted. As of CryoSPARC v4.4, if inversion is activated, it will take place after any thresholding, dilation, or padding (if used).
In addition, masks can be generated from thresholded input volumes or masks. Mask generation has the following operations:
Dilation
Applying a soft padding
Clip a mask along the z-axis (for helical refinements)
Input
A map volume or mask
Common Parameters
Note: Volume operations are done in the following order:
Resampling, lowpass filtering, and cropping
Thresholding, dilation, and padding (if enabled)
Inversion (if enabled)
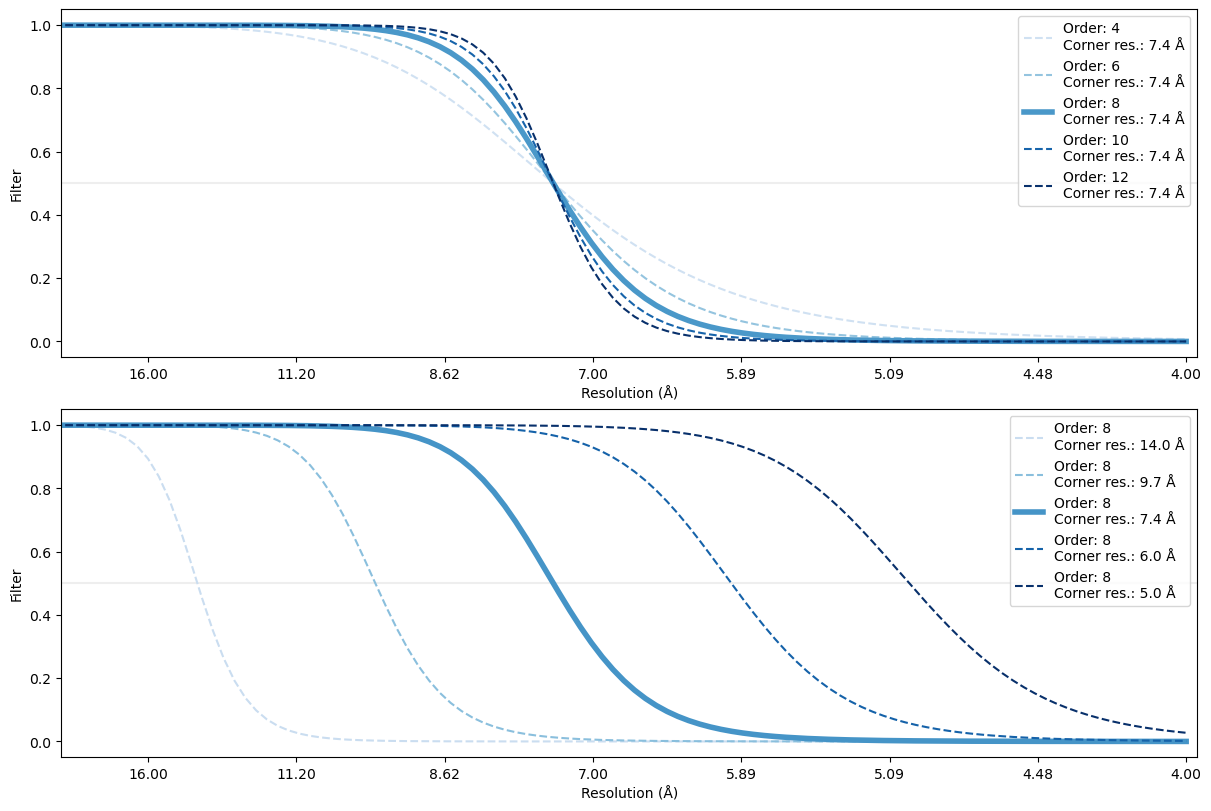
Type of input volume: Choose whether to use thevolumeormaskinput slot. The volume operations are only applied to the input at the selected slotType of output volume: The type of the output once the Volume Tools operations are complete. Can be the same or different from the type of the input volumeLowpass filter (A): Lowpass filter the input volume to this resolution in Angstroms, prior to additional processing.Lowpass Filter Type: Select either a rectangular filter ("rect") or a Butterworth filter. Rectangular filters do not include any information beyond the selected frequency, but may introduce ringing artifacts in the filtered map. Butterworth filters include a small amount of information beyond the selected frequency but have reduced ringing. This tradeoff is controlled by the Butterworth filter's order.In versions of CryoSPARC before v5.0, this parameter defaulted to "rect"
In versions of CryoSPARC starting with v5.0, this parameter defaults to "butterworth"
Lowpass Filter Order: The order of the Butterworth filter. Lower order filters have less ringing but have a slower falloff, meaning some information just below the selected cutoff frequency is attenuated and more information beyond the cutoff is included. A higher order filter has a stricter cutoff, but introduces more ringing. A rectangular filter could be thought of as a Butterworth filter with an order of infinity.This parameter has no effect when
Lowpass Filter Typeis "rect".In versions of CryoSPARC before v5.0, the default value was 10.
Starting in CryoSPARC v5.0, the default value is 8.

For Mask Generation
Threshold: This is the threshold value that is used to binarize the input density map, to convert it into a mask. See callout above about the order of operations applied to the volume.Note: To generate a mask from a volume that has been lowpass filtered, run an initial Volume Tools job to lowpass filter the volume, then view the density in the volume viewer (or download and view in UCSF Chimera) to choose a threshold value, and run a second job with the threshold set.
Dilation radius (pix): The radius of the spherical mask used to dilate the mask, in units of pixels of the final resampled volume. Leave as 0 to skip dilation.Soft padding width (pix): The width of the cosine-padded region at the edge of the mask, in units of pixels of the final resampled volume. Setting to 0 will skip soft padding. Note: the soft padding should never be skipped if the mask is to be used for any downstream jobs in CryoSPARC, since softly-padded masks are required by all jobs that use masks!
Output
The edited input map volume or mask
Common Next Steps
Particle Subtraction followed by Local Refinement for a partial volume
Align 3D Maps for aligning with other imported or generated volumes
Last updated